De grondigste verkiezingsanalyse van Destelbergen die ooit gemaakt werd
En ver daarbuiten.
Volgende week, op 4 december, worden de nieuwe gemeenteraadsleden ingehuldigd. Ook ik ben erbij en zal de komende zes jaar de 800 kiezers van Vooruit vertegenwoordigen in een gemeente die al 36 jaar bestuurd wordt door dezelfde partij: de Open VLD.
Een groot deel van mijn werk zal erin bestaan om ook jullie op de hoogte te houden over het gevoerde beleid in onze gemeente. Eerder beschreef ik ook al de volgende twee dossiers:
Het lijkt me een uitgelezen moment om de verkiezingen te evalueren. We starten bij het resultaat. Dat zag er als volgt uit:
Open VLD, met burgemeester Elsie Sierens, kreeg een extra zetel.
Ook CD&V en N-VA gingen naar huis met een extra zetel.
Waar kwamen die zetels vandaan? Groen en Vooruit, die niet in kartel opkwamen deze keer, verloren elk een zetel.
Ook Vlaams Belang verloor haar enige zetel.
De nieuwe meerderheidscoalitie, die andermaal uit Open VLD en N-VA zal bestaan, zit nu op een comfortabele 16 van de 25 zetels.
Hoe is het zover kunnen komen dat Open VLD, een partij die Vlaams en Federaal in de lappenmand ligt, 9 zetels (of 36% van de zetels) kon bemachtigen?
Ik zie zes redenen:
Lokale verankering
Het Sierens-effect
Imperiali, het achtste wereldwonder
Populair van aan de Dampoort tot de Bommels
Geld maakt niet gelukkig, maar het koopt wel grote affiches
Aan volmachten ligt het niet
Leest gerust verder.
Lokale verankering
Eerst en vooral moet het benadrukt worden dat Open VLD een lokaal verankerde partij is. Ze is al sinds 1988 onafgebroken aan de macht en leverde meermaals de burgemeester. De partij is vervlochten met tal van verenigingen uit het middenveld en sportclubs. Tot enkele jaren geleden hadden ze zelfs hun eigen café: De Eekhoorn, aan het rondpunt in Heusden.
Die lokale verankering komt sterk naar voren wanneer ge de resultaten van de provincieraadsverkiezingen vergelijkt met de resultaten van Destelbergen. Open VLD haalt 75% (!) meer stemmen op het lokaal niveau vis-à-vis het provinciale niveau. Ook CD&V scoort in Destelbergen véél beter dan in de provincie Oost-Vlaanderen.

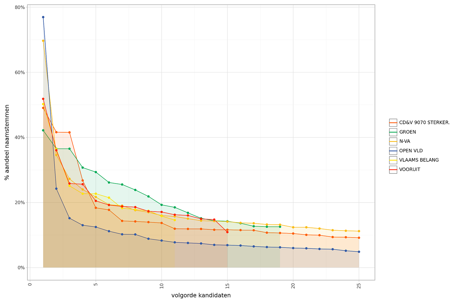
Datzelfde verhaal krijgt ge te zien wanneer ge kijkt naar de verhouding tussen mensen die een lijststem uitbrachten (rood bolleke bovenaan het stemformulier) en mensen die één of meerdere naamstemmen uitbrachten (rood bolleke bij kandidaat). Terwijl Vlaams Belang het voor meer dan de helft moet hebben van lijststemmen, is dat bij Open VLD en CD&V compleet anders: minder dan 15% van de kiezers stemde op de lijst, in plaats van op een kandidaat. Ook N-VA doet het met minder dan 25% aan lijststemmen.
Als ge uw ogen toeknijpt kunt ge zelfs een verband zien tussen de verhouding van de gemeente & de provincie, en het aandeel naamstemmen: hoe hoger het aandeel naamstemmen, hoe minder goed de gemeentelijke score vs de provinciale score.
Het Sierens-effect
Een tweede belangrijk punt is dat Elsie Sierens een ongeziene kanseliersbonus wist op te strijken. Op elke plechtige gelegenheid was ze aanwezig de laatste zes jaar. En de maanden voor de verkiezing kon ge geen barbecue bezoeken zonder haar tegen het lijf te lopen.
Het resultaat: 19% van de stemmen, of 13.5% van de kiesgerechtigen wist ze achter zich te scharen.

Maar ook binnen haar eigen partij is Elsie Sierens de onbetwiste nummer 1. Van elke 100 mensen die op de Open VLD stemden, stemden er 65 op haar. Van alle 100 mensen die één of meerdere naamstemmen uitbrachten, stemden er 77 op haar. Haar nummer twee, Schepen van Mobiliteit Michaël Vercruyssen, komt zelfs niet in de buurt.
Voor Open VLD is dat meteen ook de keerzijde van de medaille. Wanneer ik voor elke partij, alle kandidaten oplijst van meeste naar minste stemmenpercentage van hun eigen partij, dan ziet ge een enorme scheeftrekking. Lees: een groot pak van hun stemmers koos enkel en alleen voor de burgemeester.
En hoewel ook de Schepen van Economie Wim Raman (N-VA) 70% van de naamstemmen naar zich toe wist te trekken, is de verhouding tot de andere kandidaten van zijn partij veel minder scheefgetrokken.
Om het zo te zeggen: als Wim Raman en Elsie Sierens ermee stoppen, dan heeft N-VA de beste kaarten (kandidaten) in handen. Ook nationaal hebben ze (momenteel nog) de wind mee.
Ook wanneer ge kijkt naar de kandidaten die ook in 2018 op een lijst stonden, ziet het er niet rooskleurig uit voor Open VLD.
Een kandidaat als Didier Lebrun (CD&V) heeft zo een beetje elke deur meerdere keren platgelopen, en wist zijn absolute stemmenaantal te verdubbelen. Als ge kijkt naar het aandeel van de uitgebrachte stemmen, wist hij zijn score zelfs te verdriedubbelen (!). Dat is een beeld dat ge voor heel wat kandidaten bij CD&V ziet, maar ook N-VA doet het erg goed op dat vlak. Bij de liberalen lijkt niemand echt een grote sprong voorwaarts te maken. Zelfs Schepen van Mobiliteit Michaël Vercruyssen staat slechts op de tiende plek.
Bij CD&V en N-VA is continuiteit verzekerd. Bij de liberalen is dat beeld er momenteel niet.
Imperiali, het achtste wereldwonder
Ondertussen, na verschillende fusies, is het systeem Imperiali vooral een ondemocratische wiskundige tool om de grootste partij extra te belonen.
De vertaling van stemmen naar zetels gebeurt aan de hand van het systeem-Imperiali. In Destelbergen zorgt dat ervoor dat Open VLD met slechts 30% van de stemmen toch 36% van de zetels krijgt toebedeeld. Ook N-VA en CD&V profiteren van dat systeem. Groen, maar vooral Vooruit en Vlaams Belang kunnen hierdoor heel wat van hun stemmen niet verzilveren in zetels.
Dat zorgt ervoor dat Groen net geen derde zetel haalt, ik voor Vooruit alleen in de Gemeenteraad zit, en Vlaams Belang zelfs verdwijnt.
Het systeem-Imperiali werd ooit ingevoerd om coalitievormingen in kleine gemeentes eenvoudig te houden, door de grote partijen te belonen. In grotere gemeentes zorgt dat ervoor dat grote partijen goedkope zetels hebben, en kleine partijen zeer dure. Elke verkozene bij N-VA en Open VLD vertegenwoordigt 350 kiezers. Mijn ene zetel bij Vooruit vertegenwoordigt 800 kiezers—meer dan het dubbele.
Dat N-VA de goedkoopste zetels heeft is vooral te danken aan het feit dat ze de laatste zetel binnenhaalden. Met slechts enkele stemmen minder zou Groen met een derde zetel aan de haal gaan.
Als Groen en Vooruit, net zoals vorige keer, in kartel waren opgekomen, dan krijgt ge een heel andere zetelverdeling.
Open VLD: 8
N-VA: 6
CD&V: 6
Groen/Vooruit: 5
Dat klopt: simpelweg de stemmen van Groen en Vooruit optellen zorgt ervoor dat ze 5 zetels in plaats van 3 zetels toebedeeld krijgen.
Kan de oppositie zich dan volgende keer niet verenigen onder een lokale lijst? Uiteraard. Maar het vormen van kartels is een collectieve-actieprobleem: het is niet ondenkbaar dat, als antwoord, N-VA & Open VLD zich dan ook zullen verenigen, waardoor ge op dezelfde verhouding uitkomt als het resultaat zonder kartels: meerderheid 16 zetels, oppositie 9 zetels.
Populair van aan de Dampoort tot de Bommels
Voor het eerst in ‘s lands geschiedenis kunnen we ook de kiesresultaten op het niveau van de telbureaus raadplegen1. Hieruit blijkt dat Open VLD zich in elk telbureau kon manifesteren als de populairste partij. De fratsen van Burgemeester Sierens rond de verkeersproblematiek aan Gentbrugge zitten er ongetwijfeld voor tussen dat ze zich ook in de twee telbureaus van het links bastion van Eenbeekeinde sterk hield.

Wanneer we kijken waar elke partij z’n stemmen ging halen zien we dat VLD dat op 1 telbureau na, bijna evenredig over alle telbureaus doet. N-VA doet het op gelijkaardige manier, met grotere focus op de dorpskernen. En ook Groen & Vooruit hebben door hun groot aandeel lijststemmen een vrij evenredige verdeling. Voor CD&V is het heel duidelijk dat ze hun stemmen voornamelijk haalden in landelijke deelgebieden.

Geld maakt niet gelukkig, maar het koopt wel grote affiches
Naast de gegevens op het niveau van de stembureaus kunnen we nu ook de verkiezingsuitgaven van elke partij raadplegen. Die uitgaven worden gedaan door de kandidaat of door de partij, en is onderworpen aan limieten.
Hoewel CD&V plotsklaps overal was met hun verkiezingsborden, waren Open VLD en N-VA relatief laat met hun campagne. Desalniettemin is de partij van de Burgemeester erin geslaagd om meer dan 30.000 euro uit te geven binnen de context van de verkiezingen.
Geen idee hoeveel afdrachten er bij Open VLD worden betaald door de raadsleden, maar met hun jarenlange deelname aan het bestuur zitten ze daar waarschijnlijk op een enorme oorlogskas aan geldmiddelen.
Interessante bedenking, bij Open VLD mocht er iemand voor 13.000 euro factureren voor de coördinatie van hun campagne. 🤷
Aan volmachten ligt het niet
In Vlaanderen is het verboden om volmachten te ronselen. Om het vertrouwen in de democratie te vrijwaren staan er zelfs zware gevangenisstraffen op. Ook werd het gebruik van de volmacht op erewoord verboden. Elke volmacht dient nu gepaard te gaan met een attest. Maar de burgemeester kan nog steeds attest A96a eigenhandig ondertekenen.
Het aantal volmachten kunt ge, mits enig doorzettingsvermogen, opvragen bij de provincie. En ja, om dat cijfer te bemachtigen ben ik daar eigenhandig de processen-verbaal van de stembureaus gaan inkijken.
In elk telbureau komt ge zo tot een “volmachtpercentage” van 2% tot 4%. Dat is niet laag, maar dat is ook niet zorgwekkend hoog.
Het ronselen van volmachten was vroeger schering en inslag. Denk maar aan de berichtgeving dat Vlaams Belang de deuren in Benidorm platliep op zoek naar volmachten. Maar ook in Destelbergen doen de zotste cowboyverhalen de ronde.
Ik heb eigenhandig gezien hoe het gezin van een politicus, elk met een volmacht in de hand, samen ging stemmen—wat perfect legaal kan zijn. Maar ik kreeg ook meer dan één melding dat er:
bepaalde individuen gevraagd hebben naar een volmacht.
mensen een volmacht hebben kunnen geven zonder enige attestvoorlegging.
Desalniettemin kon het aantal volmachten de verkiezingen niet in de ene of de andere richting duwen. Als er al geronseld werd is het dus niet van die aard dat het een materiële impact heeft op het verkiezingsresultaat: het gaat tenslotte maar om 3% van de stemmen.
We kunnen wel een indicatie krijgen van wie het meest bevoordeeld werd door de volmachten. Wanneer ge de correlatiecoefficiënt2 berekent tussen het volmachtpercentage per telbureau, en het stempercentage van elke partij per stembureau dan komt ge tot dit beeld: de score van de meerderheidspartijen hangt het nauwst samen met het volmachtpercentage.
Voor alle duidelijkheid: dat is géén beschuldiging, maar een statistisch feit dat ook louter toevallig kan zijn.
Conclusie
Afhankelijk van waar ge staat in het politieke spectrum zijn hier andere conclusies te maken.
Desalniettemin valt er aan één duidelijke conclusie niet te ontsnappen: Burgemeester Elsie Sierens wist een groot deel van de kiezers eigenhandig te overtuigen en dat geeft haar een onbetwistbaar mandaat voor de komende zes jaar.
Wordt ongetwijfeld vervolgd.
In gemeentes waar digitaal gestemd wordt, kan dat zelfs op het niveau van de stembureaus.
Er zijn verschillende manieren om correlatie te berekenen. Pearson’s r is niet erg gepast voor percentages, daarom koos ik voor Kendall’s Tau. Ook Spearman’s Rho geeft hetzelfde beeld.

















